文章摘要:LAB与LUV空间又称为CIE一L*a*b*和CIE一L*u*v*空间,是CIE为了统一评价颜色差别而推荐的两个颜色空间。这两个空间比之CIE-XYZ更具均匀性,也更符合人的视觉心理,这两个颜色空间在色差仪中运用极广。本文对色差仪LAB与LUV颜色空间含义及区别做了介绍。
LAB与LUV空间又称为CIE一L*a*b*和CIE一L*u*v*空间,是CIE为了统一评价颜色差别而推荐的两个颜色空间。这两个空间比之CIE-XYZ更具均匀性,也更符合人的视觉心理,这两个颜色空间在色差仪中运用极广。本文对色差仪LAB与LUV颜色空间含义及区别做了介绍。

LAB颜色空间是CIE一L*a*b*空间的简称,是CIE推荐的一个较好的颜色空间,优点是当颜色的色差大于视觉的识别阈限(恰可察觉)而又小于孟塞尔系统中的相邻两级色差值时,能较好地反映物体色的心理感受效果。它是一个国际上使用极为广泛的空间,其计算公式为:

对于a*,b*的计算,有时直接用f(z)=z(1/3)的公式计算,而不考虑分段取值。但对亮度L*计算,一般要用分段函数f(Y/X0)。L*称为心理明度,一般也称做亮度,与前面LUV模型的L*值的意义是一样的。a*、b*表现了颜色方面的信息。由于CIE-XYZ系统中,X表达了视觉的红一绿反应;Y表达了黑一白反应;Z表达了黄一蓝反应。所以,a*,b*这两个心理色度中包含了(X—Y)和(Y—Z)。当a*为
正时,是红色,为负时,是绿色;b*为正时,是黄色,为负时,是蓝色。以C1和C2表示两种颜色,我们可以知道,△L*=L1*-L2*为正值时,说明C1比C2颜色浅,明度高(亮度值大);反之,C1比C2的颜色深,明度低。△a*=a1*-a2*为正时,说明C1比C2偏红,反之偏绿。△b*=b1*-b2*为正时,说明C1比C2偏黄,反之偏蓝。
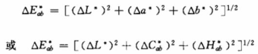
1.两个颜色样品的CIE1976 a,b色差(简称CIELAB色差)△E*ab计算方法如下式:

式中,△L*是CIELAB明度差,△a*、△b*是CIELAB色品指数差;△C*ab是CIELAB彩度差;△H*ab是CIELAB色调差。上面两个色差公式计算△E*ab的值是等价的。
2.CIELAB明度差和色品指数差为:△L*=L1*-L2*、△a*=a1*-a2*、△b*=b1*-b2*。
3.CIELAB彩度差为:△C*ab=△C*ab,1-△C*ab,2。
4.CIELAB色调角差为:△hab=h*ab,1-h*ab,2。在计算△hab值时需要注意:当两个颜色的连线穿过a*的正轴,△hab应进行±360°修正,以便其数值在±180°范围内。
5.CIELAB色调差为:△H*ab=2(C*ab,1·C*ab,2)1/2sin(△hab/2)或△H*ab=[(△E*ab)2-(△L*)2-(△C*ab)2]1/2。
对于不在无彩色轴上的小色差,△H*ab可以按照该式计算:△H*ab=(C*ab,1·C*ab,2)1/2·△hab,式中△hab的单位是弧度。在计算色调角与色调差时,需要注意以下事项:
(1)△H*ab与△hab的正负符号相同。
(2)当△hab的绝对值趋近180°时,可不必计算CIELAB色调差和彩度差。
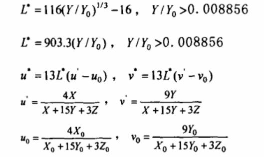
LUV颜色空间是CIE一L*u*v*空间的简称,也是CIE推荐的用于颜色测量的均匀颜色空间。LUV模型的3个量的意义如下:L为亮度;U、
V表明了颜色的色度信息。其表达式为:

式中:X0、Y0、Z0、u0、v0为标准光源的值,X,Y,Z的值为CIE色度值,由上面的XYZ求得;L为亮度信息;U、V为色度信息。
1.两个颜色样品的CIE1976 u,v色差(简称CIELUV色差)△E*uv计算方法如下式:

式中△L*、△u*、△v*的计算方法为:△L*=L1*-L2*、△u*=u1*-u2*、△v*=v1*-v2*。
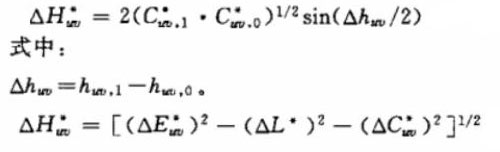
2.CIE1976 u;v色调差(简称 CIELUV色调差)△H*uv,计算方法如下式:

△H*uv与△huv的正负符号相同。
文章标签: 色差仪
3nh经济型60°光泽度仪YG60S金属五金光泽度计玻璃汽车漆光泽仪
¥500.00
3nh分光测色仪油漆涂料色差仪平面光栅测色仪TS7700颜色分析仪
¥36800.00
¥26800.00
3nh标准光源箱DOHO对色灯箱经典五光源印刷纺织标准光源箱D60(5)
¥1100.00
3nh对色灯箱印刷纺织标准光源DOHO服装对色展台D60(6)比色看色箱
¥1300.00
3nh颜色分析仪YS6010玻璃陶瓷反射测色仪液体膏状透射台式色差仪
¥58800.00
印刷照明光管D65纺织看色光源仿日光标准光源烟草筛选3nh对色灯管
¥180.00
标准光源D65对色灯管36W965工业看色比色高显指光源看样灯管
¥90.00
ISO12233分辨率测试卡镜头增强型测试卡解析度测试卡清晰度chart
¥500.00
2014版e-SFR分辨率测试卡ISO12233镜头检测图卡实验室测试chart图
¥1050.00
3nh经济型60°光泽度仪YG60S金属五金光泽度计玻璃汽车漆光泽仪
¥500.00
3nh分光测色仪油漆涂料色差仪平面光栅测色仪TS7700颜色分析仪
¥36800.00
¥26800.00
3nh标准光源箱DOHO对色灯箱经典五光源印刷纺织标准光源箱D60(5)
¥1100.00
3nh对色灯箱印刷纺织标准光源DOHO服装对色展台D60(6)比色看色箱
¥1300.00
3nh颜色分析仪YS6010玻璃陶瓷反射测色仪液体膏状透射台式色差仪
¥58800.00
印刷照明光管D65纺织看色光源仿日光标准光源烟草筛选3nh对色灯管
¥180.00
ISO12233分辨率测试卡镜头增强型测试卡解析度测试卡清晰度chart
¥500.00
2014版e-SFR分辨率测试卡ISO12233镜头检测图卡实验室测试chart图
¥1050.00
24色色卡 ColorChecker测试图卡色彩再现测试图色彩白平衡测试卡
¥1500.00



